
Formulario de Estadística I
Un formulario (de fórmulas) es un documento de apoyo que reúne fórmulas, definiciones y símbolos importantes de una materia para consultarlos fácilmente al estudiar o resolver ejercicios.
👉 Sirve para recordar cómo se hacen los cálculos sin tener que memorizar todo.
1. Organización de datos
1.1 Análisis exploratorio de datos: diagrama de tallo y hoja
Representación de datos numéricos donde el tallo agrupa los valores y la hoja muestra cada dato, facilitando observar la distribución.
1.2 Escalas de medición
-
Nominal: clasifica datos sin orden (color, sexo).
-
Ordinal: clasifica con orden (niveles, rangos).
-
Intervalo: datos con distancia igual, sin cero absoluto (temperatura).
-
Razón: datos con distancia igual y cero absoluto (edad, peso).
1.3 Tablas de frecuencia para variables discretas y continuas
Organizan los datos mostrando cuántas veces aparece cada valor o intervalo.
1.4 Intervalo de clase y límites de clase
-
Intervalo de clase: rango que agrupa los datos.
-
Límites de clase: valores mínimo y máximo del intervalo.
1.5 Anchura del intervalo de clase
Es la amplitud de cada intervalo.
Fórmula:
Anchura = Límite superior − Límite inferior
1.6 Marca de clase
Es el valor central del intervalo.
Fórmula:
Marca de clase = (Límite inferior + Límite superior) / 2
1.7 Distribución de frecuencia relativa y acumulada
-
Frecuencia relativa: proporción o porcentaje de un dato.
-
Frecuencia acumulada: suma progresiva de las frecuencias.
2. Presentación de datos: gráficas y curvas
2.1 Gráfica para datos cualitativos
-
Gráfica de barras: compara categorías.
-
Gráfica de pastel: representa porcentajes.
2.2 Gráfica para datos cuantitativos
-
Histograma: distribución de datos continuos.
-
Polígono de frecuencia: unión de marcas de clase.
-
Ojiva: gráfica de frecuencia acumulada.
2.3 Gráficas de líneas de series de tiempo
Muestran el comportamiento de un dato a lo largo del tiempo.
2.4 Diagramas de caja
Representan la dispersión de los datos mediante cuartiles, mediana y valores extremos.
3. Medidas de posición y de tendencia central
3.1 Media aritmética (promedio)
Definición:
Es la suma de todos los datos dividida entre el número total de datos.
Fórmula (datos no agrupados):
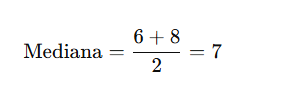
3.2 Mediana
Definición:
Es el valor central cuando los datos están ordenados.
Ejemplo:
Datos: 3, 5, 7, 9, 11
La mediana es 7 (el valor del centro).
Si hay dos valores centrales:
Datos: 4, 6, 8, 10
3.3 Moda
Definición:
Es el valor que más se repite.
Ejemplo:
Datos: 2, 4, 4, 6, 8
La moda es 4.
3.4 Media geométrica
Definición:
Se usa cuando los datos representan crecimientos o razones.
3.5 Promedio móvil
Definición:
Es el promedio de un grupo fijo de datos consecutivos.
Se usa para analizar tendencias en el tiempo.
Ejemplo:
Datos: 10, 12, 14, 16
Promedio móvil de 2 datos:
-
(10 + 12) / 2 = 11
-
(12 + 14) / 2 = 13
-
(14 + 16) / 2 = 15
3.6 Media armónica
Definición:
Se usa cuando los datos son tasas o velocidades.
3.7 Cuartiles, deciles y percentiles
Definición:
Son medidas que dividen los datos ordenados:
-
Cuartiles (Q): dividen en 4 partes
-
Deciles (D): dividen en 10 partes
-
Percentiles (P): dividen en 100 partes
Ejemplo simple:
Si el percentil 50, es el valor donde el 50% de los datos queda por debajo
👉 es la mediana.
cuartiles
Deciles
Percentiles
4. Medidas de variabilidad o de dispersión
4.1 Rango
Definición:
Es la diferencia entre el valor mayor y el valor menor del conjunto de datos.
4.2 Desviación media absoluta
Definición:
Es el promedio de las distancias absolutas de cada dato respecto a la media.
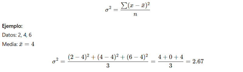
4.3 Varianza
Definición:
Mide qué tanto se alejan los datos de la media.
4.4 Desviación estándar
Definición:
Es la raíz cuadrada de la varianza y expresa la dispersión en las mismas unidades que los datos.
4.5 Coeficiente de variación
Definición:
Mide la variabilidad relativa respecto a la media, expresada en porcentaje.
4.6 Medidas de forma: asimetría y curtosis
Asimetría:
Indica si la distribución se inclina a la derecha o izquierda.
-
Positiva → cola a la derecha
-
Negativa → cola a la izquierda
Curtosis:
Indica el grado de concentración de los datos alrededor de la media.
-
Alta → distribución más puntiaguda
-
Baja → distribución más plana
5. Probabilidad
5.1 Probabilidad clásica, frecuencial y subjetiva
Probabilidad clásica
Se basa en resultados igualmente probables.
Probabilidad frecuencial
Se basa en la frecuencia con que ocurre un evento al repetir un experimento.
Probabilidad subjetiva
Se basa en la opinión o experiencia personal, no tiene fórmula exacta.
Ejemplo:
“Creo que hay alta probabilidad de que apruebe el examen”.
5.2 Experimentos, eventos y espacio muestral
Experimento: acción que produce resultados (lanzar una moneda).
Evento: resultado del experimento.
Espacio muestral (S): conjunto de todos los resultados posibles.
Ejemplo:
Moneda →
S={cara, cruz}
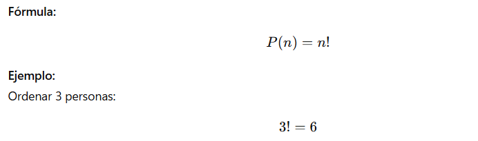
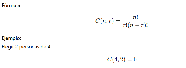
5.3 Reglas de conteo: permutaciones y combinaciones
Permutaciones (importa el orden):
Combinaciones (no importa el orden):
5.4 Reglas de la probabilidad
Regla de la suma (eventos excluyentes):
Regla del complemento
5.5 Eventos dependientes, independientes y condicionales
Eventos independientes:
Uno no afecta al otro.
5.6 Teorema de Bayes
Definición:
Permite calcular una probabilidad condicionada usando información previa.
5.7 Diagrama de árbol
Definición:
Representa gráficamente los resultados posibles de un experimento.
Ejemplo:
Moneda + dado → ramas para cada resultado.
5.8 Esperanza matemática
Definición:
Es el valor promedio esperado de un experimento aleatorio.
6. Variables aleatorias discretas y su distribución de probabilidad
6.1 Probabilidad clásica, frecuencial y subjetiva
Probabilidad clásica
Se usa cuando todos los resultados son igualmente probables.
Probabilidad frecuencial
Se basa en la repetición de un experimento.
Probabilidad subjetiva
Depende del juicio personal o experiencia, no tiene fórmula.
Ejemplo:
“Creo que tengo alta probabilidad de aprobar el examen”.
6.2 Distribución de probabilidad de una variable aleatoria discreta
Definición:
Es una tabla o función que asigna una probabilidad a cada valor posible de una variable aleatoria discreta.
Condición:
La suma de todas las probabilidades debe ser 1.
6.3 Distribución Bernoulli
Definición:
Modelo de probabilidad con solo dos resultados posibles: éxito o fracaso.
6.4 Distribución binomial y multinomial
Distribución binomial
Definición:
Se usa cuando un experimento Bernoulli se repite varias veces de forma independiente.
Distribución multinomial
Definición:
Extiende la binomial cuando hay más de dos posibles resultados.